বাড়ি> ব্লগ> এসটারিফিকেশন প্রক্রিয়া সম্পর্কে গুঞ্জন কী?

এসটারিফিকেশন প্রক্রিয়া সম্পর্কে গুঞ্জন কী?

June 24, 2025

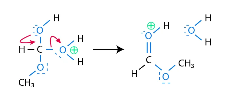
এসটারিফিকেশন একটি আকর্ষণীয় রাসায়নিক প্রক্রিয়া যেখানে একটি অ্যালকোহল একটি এস্টার এবং জল উত্পাদন করতে একটি কার্বোক্সিলিক অ্যাসিডের সাথে প্রতিক্রিয়া দেখায়। এই প্রতিক্রিয়াটির জন্য সাধারণত একটি অ্যাসিড অনুঘটক প্রয়োজন যেমন সালফিউরিক অ্যাসিড এবং এটি একটি কেশন গঠন এবং জল অপসারণ সহ বেশ কয়েকটি মূল পদক্ষেপ জড়িত। অ্যালকোহলগুলির সাথে অ্যাসিড ক্লোরাইডগুলির প্রতিক্রিয়া, অ্যালকোহলগুলির সাথে অ্যাসিড অ্যানহাইড্রাইড এবং কার্বোক্সিলিক অ্যাসিড এবং অ্যালকোহলগুলির মধ্যে সরাসরি প্রতিক্রিয়া সহ এস্টার প্রস্তুত করার জন্য বিভিন্ন পদ্ধতি রয়েছে। সফল এস্টেরিফিকেশন জন্য প্রয়োজনীয় শর্তগুলির মধ্যে একটি কার্বনিল যৌগের উপস্থিতি এবং প্রাথমিক অ্যালকোহলগুলির ব্যবহার অন্তর্ভুক্ত। এস্টারগুলি তাদের আনন্দদায়ক অ্যারোমাগুলির জন্য বিখ্যাত এবং খাদ্য এবং প্রসাধনী থেকে শুরু করে পেইন্টস এবং লেপগুলিতে সুগন্ধি এবং দ্রাবক পর্যন্ত বিভিন্ন অ্যাপ্লিকেশনগুলিতে ব্যাপকভাবে ব্যবহৃত হয়। অতিরিক্তভাবে, তারা সাবান উত্পাদন এবং প্লাস্টিকাইজার হিসাবে ভূমিকা খুঁজে পায়। এটি লক্ষ করা গুরুত্বপূর্ণ যে এসটারিফিকেশনটি স্যাপোনিফিকেশন থেকে পৃথক, যার মধ্যে একটি শক্তিশালী বেসের সাথে প্রতিক্রিয়া দেখানো এস্টারগুলি থেকে এসওএপি গঠনের সাথে জড়িত। উপকরণ বিজ্ঞান এবং ফার্মাসিউটিক্যালস সহ বিভিন্ন শিল্প জুড়ে এর ব্যবহারিক অ্যাপ্লিকেশনগুলির জন্য এস্টেরিফিকেশনটির জটিলতাগুলি বোঝা অত্যাবশ্যক।



কেন এস্টারিফিকেশন শহরের আলাপ!



এস্টারিফিকেশন ইদানীং তরঙ্গ তৈরি করে চলেছে, এবং আপনি হয়ত ভাবছেন যে কেন সবাই এ সম্পর্কে গুঞ্জন করছে। ঠিক আছে, আমাকে আপনার জন্য এটি ভেঙে দিন! প্রথমত, এস্টেরিফিকেশন একটি রাসায়নিক বিক্রিয়া যা একটি অ্যালকোহল এবং অ্যাসিডকে একত্রিত করে একটি এসটার তৈরি করে। এখন, আপনি ভাবতে পারেন, "কেন আমি এই সম্পর্কে যত্ন করব?" জিনিসটি এখানে: এস্টারগুলি সর্বত্র রয়েছে! আপনার প্রিয় স্ন্যাকসের স্বাদ পর্যন্ত ফলের আনন্দদায়ক গন্ধ থেকে শুরু করে এস্টারগুলি আমাদের দৈনন্দিন জীবনে গুরুত্বপূর্ণ ভূমিকা পালন করে। তবে আসুন আমরা ঘরে হাতিটিকে সম্বোধন করি: এস্টেরিফিকেশন আসলে কী বোঝায় এবং এটি কীভাবে তাদের প্রভাব ফেলে সে সম্পর্কে অনেকে বিভ্রান্ত হন। আমি আরও গভীর খনন না করা পর্যন্ত আমি একইভাবে অনুভব করতাম। আমি যা পেয়েছি তা এখানে: ১। এটি এমন প্রক্রিয়া যা এস্টার তৈরি করে, যা আমরা উপভোগ করি এমন অনেক অ্যারোমা এবং স্বাদের জন্য দায়ী। শেষবারের মতো আপনি তাজা স্ট্রবেরিগুলির ঝাঁকুনি নিয়েছিলেন বা সুগন্ধির বোতলটি খুললেন। এটাই কর্মক্ষেত্রে এস্টার ম্যাজিক! 2। ** রিয়েল-ওয়ার্ল্ড অ্যাপ্লিকেশন **: এস্টারগুলি কেবল আপনার নাকের জন্য নয়। এগুলি খাদ্য ও পানীয় থেকে শুরু করে প্রসাধনী এবং ফার্মাসিউটিক্যালস পর্যন্ত বিভিন্ন শিল্পে ব্যবহৃত হয়। উদাহরণস্বরূপ, খাদ্য শিল্পটি ফলের স্বাদ নকল করে এমন কৃত্রিম স্বাদ তৈরি করতে এস্টারগুলির উপর নির্ভর করে। কখনও ভেবে দেখেছেন যে এই আঠালো ভাল্লুকগুলি এত ফলের স্বাদ কীভাবে স্বাদ দেয়? আপনি এটি অনুমান করেছেন - esters! 3। একটি সাধারণ পরীক্ষার মধ্যে ভিনেগার (একটি অ্যাসিড) মিশ্রণ এবং অ্যালকোহল ঘষে (অ্যালকোহল) জড়িত। কিছুটা উত্তাপের সাথে আপনি নিজের ফল-গন্ধযুক্ত এস্টার তৈরি করতে পারেন। একটি ভাল বায়ুচলাচল অঞ্চলে এটি করার বিষয়টি নিশ্চিত করুন! ৪। আমরা যেমন সবুজ গ্রহের জন্য প্রচেষ্টা করি, এস্টারগুলি প্লাস্টিকের বর্জ্য হ্রাস করার ক্ষেত্রে মূল খেলোয়াড় হতে পারে। একটি সাধারণ রাসায়নিক বিক্রিয়া পরিবেশ সংরক্ষণে সহায়তা করতে পারে তা ভাবা কি উত্তেজনাপূর্ণ নয়? উপসংহারে, এসটারিফিকেশন কেবল একটি বৈজ্ঞানিক শব্দের চেয়ে বেশি; এটি একটি আকর্ষণীয় প্রক্রিয়া যা আমাদের ইন্দ্রিয়, আমাদের খাদ্য এবং এমনকি আমাদের গ্রহকে প্রভাবিত করে। পরের বার আপনি যখন কোনও ফলের নাস্তা উপভোগ করেন বা আনন্দদায়ক কোনও কিছুর ঝাঁকুনি ধরেন, এস্টারগুলির ভূমিকা মনে রাখবেন। সুতরাং, আসুন কথোপকথনটি চালিয়ে যাক - কে জানতেন যে রসায়ন এই আকর্ষণীয় হতে পারে?


এসটারিফিকেশন এর গোপনীয়তাগুলি আনলক করা: আপনার কী জানা দরকার



এস্টারিফিকেশনটি একটি দু: খজনক শব্দের মতো শোনাতে পারে তবে আমি আপনাকে বলি, এটি যতটা জটিল বলে মনে হয় ততটা জটিল নয়। যে কেউ রসায়নের জগতে নেভিগেট করেছেন, আমি বিভিন্ন প্রতিক্রিয়া কীভাবে কাজ করে তা বোঝার সাথেই এই বিভ্রান্তি জানি। আপনি হয়ত ভাবছেন, "এস্টেরিফিকেশন কী, এবং কেন আমার যত্ন নেওয়া উচিত?" ঠিক আছে, আসুন এটি একসাথে ভেঙে দিন। প্রথমত, এসটারিফিকেশন হ'ল এস্টার গঠনের প্রক্রিয়া, যা অ্যাসিড এবং অ্যালকোহল থেকে প্রাপ্ত যৌগিক। তারা সুগন্ধ থেকে শুরু করে খাদ্য সংযোজন পর্যন্ত অনেক দৈনন্দিন পণ্যগুলিতে গুরুত্বপূর্ণ ভূমিকা পালন করে। আপনি যদি কখনও কোনও ফলের মিষ্টি গন্ধ বা একটি সুস্বাদু মিষ্টান্নের স্বাদ উপভোগ করেন তবে আপনি সম্ভবত এস্টারগুলির মুখোমুখি হয়েছিলেন। তবে এখানে কিকারটি রয়েছে: অনেকেই বুঝতে পারেন না যে প্রকৃতি এবং শিল্প উভয় ক্ষেত্রেই এই প্রক্রিয়াটি কতটা তাত্পর্যপূর্ণ। সুতরাং, এস্টেরিফিকেশন সম্পর্কে আপনার কী কী পয়েন্টগুলি জানতে হবে? আসুন ডুব দিন: 1। যখন এই দুটি পদার্থ মিলিত হয়, তারা একটি এস্টার এবং জল উত্পাদন করে। সহজ লাগছে, তাই না? তবে এটি এমন সুনির্দিষ্ট যা লোকদের ভ্রমণ করতে পারে। 2। ** অনুঘটকদের ভূমিকা **: প্রায়শই, একজন অনুঘটক - সাধারণত একটি অ্যাসিড - প্রতিক্রিয়াটিকে গতি বাড়ানোর জন্য ব্যবহৃত হয়। এখানেই জিনিসগুলি কিছুটা জটিল হয়ে উঠতে পারে। সঠিক শর্ত ব্যতীত, প্রক্রিয়াটি দক্ষতার সাথে ঘটতে পারে না, যা আমাদের কাঙ্ক্ষিত এস্টারের কম ফলন ঘটায়। 3। ** দৈনন্দিন জীবনে অ্যাপ্লিকেশন **: আপনি এটি বুঝতে পারেন না, তবে এস্টারগুলি সর্বত্র রয়েছে! এগুলি ফলের স্বাদ, ফুলের সুগন্ধ এবং এমনকি আপনার প্রিয় বেকড সামগ্রীর সুগন্ধে অবদান রাখে। এসটারিফিকেশন বোঝা আপনাকে এই অভিজ্ঞতাগুলিকে আরও বেশি প্রশংসা করতে সহায়তা করতে পারে। 4। ** পরীক্ষার জন্য ব্যবহারিক পদক্ষেপগুলি **: আপনি যদি দু: সাহসিক কাজ অনুভব করেন তবে আপনি এমনকি বাড়িতে এস্টেরিফিকেশন চেষ্টা করতে পারেন! অ্যালকোহলের সাথে ভিনেগার (এসিটিক অ্যাসিড) মিশ্রিত করে (ইথানলের মতো) মিশ্রিত করে এবং কিছুটা তাপ যোগ করে আপনি নিজের ফলস্বরূপ গন্ধ তৈরি করতে পারেন। শুধু সুরক্ষা সতর্কতা অনুসরণ করতে মনে রাখবেন! সংক্ষেপে, এস্টেরিফিকেশনটি একটি জটিল বিষয় বলে মনে হতে পারে তবে একবার আপনি এটি ভেঙে ফেললে এটি অ্যাসিড এবং অ্যালকোহলের মধ্যে মিথস্ক্রিয়া বোঝার বিষয়ে। বেসিকগুলি উপলব্ধি করে, অনুঘটকগুলির গুরুত্বকে স্বীকৃতি দিয়ে এবং এস্টারগুলির প্রতিদিনের অ্যাপ্লিকেশনগুলি দেখে আপনি দেখতে পাবেন যে এই প্রক্রিয়াটি কেবল আকর্ষণীয়ই নয়, আমাদের জীবনের সাথে অবিশ্বাস্যভাবে প্রাসঙ্গিকও। সুতরাং পরের বার আপনি কোনও আনন্দদায়ক সুগন্ধের ঝাঁকুনি ধরুন বা মিষ্টি ট্রিটের স্বাদ গ্রহণ করবেন, আপনি জানতে পারবেন যে এর পিছনে কিছুটা এসটারিফিকেশন যাদু রয়েছে!


এস্টারিফিকেশন ব্যাখ্যা করেছেন: হাইপ চালাচ্ছে কী?



এস্টারিফিকেশন এমন একটি শব্দ যা প্রায়শই পপ আপ হয়, তবে এটি ঠিক কী, এবং কেন প্রত্যেকে এটি সম্পর্কে কথা বলছে? আপনি যদি কখনও ভেবে দেখেছেন যে আপনার প্রিয় সুগন্ধগুলি কেন দীর্ঘায়িত হয় বা কীভাবে কিছু পণ্য এত বিলাসবহুল মনে হয় তবে আপনি এই প্রক্রিয়াটি বোঝার চেয়ে আরও কাছাকাছি থাকতে পারেন। এসটারিফিকেশন হ'ল অ্যালকোহল এবং অ্যাসিডের মধ্যে রাসায়নিক বিক্রিয়া, যার ফলে একটি এস্টার এবং জল হয়। সহজ লাগছে, তাই না? তবে এখানে ক্যাচটি রয়েছে: এই আপাতদৃষ্টিতে সোজা প্রতিক্রিয়া হ'ল আমরা প্রতিদিন ব্যবহার করি এমন অনেক পণ্যগুলির মেরুদণ্ড। সুগন্ধির ফলের সুগন্ধ থেকে লোশনগুলিতে মসৃণ টেক্সচার পর্যন্ত এস্টারগুলি আমাদের অভিজ্ঞতা বাড়ানোর ক্ষেত্রে গুরুত্বপূর্ণ ভূমিকা পালন করে। আসুন এটি ভেঙে দিন। ** 1। বেসিকগুলি বোঝা ** আমার মনে আছে আমি প্রথমবারের মতো এসটারিফিকেশন শব্দটির মুখোমুখি হয়েছি। আমি একটি রসায়ন শ্রেণিতে ছিলাম, চারপাশে সূত্র এবং প্রতিক্রিয়া দ্বারা বেষ্টিত যা আমার মাথার উপরে উড়ে গেছে বলে মনে হয়েছিল। তবে একবার আমি বেসিকগুলি আঁকড়ে ধরলাম, সমস্ত কিছু ক্লিক করা হয়েছে। এস্টারগুলি সেই আনন্দদায়ক গন্ধ এবং স্বাদগুলির জন্য দায়ী। পাকা কলাগুলির মিষ্টি সুগন্ধ বা আপেলের সতেজ ঘ্রাণ সম্পর্কে চিন্তা করুন। এগুলি প্রায়শই এসটারিফিকেশন এর মাধ্যমে তৈরি করা হয়। ** 2। দৈনন্দিন জীবনে এস্টারগুলির ভূমিকা ** আপনি কি কখনও ভেবে দেখেছেন যে নির্দিষ্ট পণ্যগুলি কেন আপনার ত্বকে এত ভাল লাগে? লোশন এবং ক্রিমগুলিতে আপনি যে সিল্কি টেক্সচারটি উপভোগ করেন তা প্রায়শই এস্টার থেকে আসে। তারা নরম অনুভূতি সরবরাহ করার সময় আর্দ্রতায় লক করে ত্বকে বাধা তৈরি করতে সহায়তা করে। এই কারণেই অনেকগুলি স্কিনকেয়ার ব্র্যান্ড তাদের উপাদান তালিকায় এস্টারগুলি হাইলাইট করে। ** 3। শিল্পের ক্ষেত্রে কীভাবে এসটারিফিকেশন কাজ করে ** উত্পাদন বিশ্বে, এসটারিফিকেশন একটি গেম চেঞ্জার। শিল্পগুলি বায়োডেগ্রেডেবল প্লাস্টিক থেকে শুরু করে খাদ্য সংযোজন পর্যন্ত বিস্তৃত পণ্য উত্পাদন করতে এই প্রক্রিয়াটি ব্যবহার করে। প্রতিক্রিয়াটি বোঝার মাধ্যমে, নির্মাতারা পছন্দসই বৈশিষ্ট্যগুলি অর্জনের জন্য সূত্রগুলি টুইট করতে পারে যেমন বালুচর জীবন বাড়ানো বা স্বাদ বাড়ানো। ** 4। পরিবেশগত প্রভাব ** টেকসই একটি উত্তপ্ত বিষয় হয়ে ওঠার সাথে সাথে, এসটারিফিকেশন পরিবেশ-বান্ধব খাতেও তরঙ্গ তৈরি করছে। বায়োডেগ্রেডেবল এস্টারগুলি traditional তিহ্যবাহী প্লাস্টিকগুলি প্রতিস্থাপনের জন্য তৈরি করা হচ্ছে, মানের ত্যাগ ছাড়াই সবুজ বিকল্প সরবরাহ করে। সংক্ষেপে, এস্টারিফিকেশনটি একটি জটিল বৈজ্ঞানিক শব্দের মতো মনে হতে পারে তবে এর প্রভাব আমাদের চারপাশে রয়েছে। আমরা যে সুগন্ধিগুলি পরিধান করি সেগুলি থেকে আমরা ব্যবহার করি, এই প্রক্রিয়াটি বোঝা আমাদের পছন্দের আইটেমগুলির পিছনে কারুশিল্পের প্রশংসা করতে সহায়তা করতে পারে। সুতরাং, পরের বার আপনি যখন কোনও আনন্দদায়ক ঘ্রাণের ঝাঁকুনি ধরেন বা বিলাসবহুল লোশনটির অনুভূতি উপভোগ করেন, মনে রাখবেন: এসটারিফিকেশন তার জাদুটিকে পর্দার আড়ালে কাজ করছে! শিল্পের প্রবণতা এবং সমাধান সম্পর্কে আরও শিখতে আগ্রহী? Xie এ যোগাযোগ করুন: kepeiaochem@gmail.com/whatsapp ++ 8618039354564।


রেফারেন্স


১। স্মিথ জে। এসটারিফিকেশন এর গোপনীয়তা এবং আমাদের জীবনে এর প্রভাব

যোগাযোগ করুন

Author:

Mr. jamin

Phone/WhatsApp:

++86 18039354564

জনপ্রিয় পণ্য
You may also like
Related Categories

এই সরবরাহকারীকে ইমেইল করুন

বিষয়:
ইমেইল:
বার্তা:

আপনার বার্তা 20-8000 অক্ষরের মধ্যে হওয়া আবশ্যক

আমরা আপনার সাথে যোগাযোগ করব

আরও তথ্য পূরণ করুন যাতে আপনার সাথে দ্রুত যোগাযোগ করতে পারে

গোপনীয়তার বিবৃতি: আপনার গোপনীয়তা আমাদের কাছে অত্যন্ত গুরুত্বপূর্ণ। আমাদের সংস্থা আপনার ব্যক্তিগত তথ্যগুলি আপনার সুস্পষ্ট অনুমতিগুলি সহ কোনও এক্সপ্যানিতে প্রকাশ না করার প্রতিশ্রুতি দেয়।

পাঠান