বাড়ি> ব্লগ> আপনার কেন এস্টেরিফিকেশন সম্পর্কে যত্ন নেওয়া উচিত?

আপনার কেন এস্টেরিফিকেশন সম্পর্কে যত্ন নেওয়া উচিত?

June 25, 2025

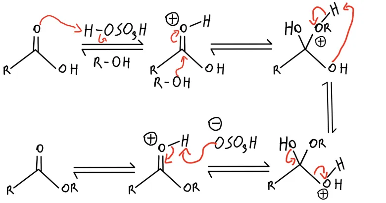
এসটারিফিকেশন হ'ল মনোমুগ্ধকর রাসায়নিক বিক্রিয়া যেখানে অ্যালকোহল এবং কার্বোঅক্সিলিক অ্যাসিডগুলি একত্রিত হয়ে এস্টার গঠনে আসে, ফার্মাসিউটিক্যালস এবং সুগন্ধি সহ বিভিন্ন শিল্পে প্রয়োজনীয় যৌগগুলি। এই প্রক্রিয়াটি প্রায়শই ফিশার এস্টেরিফিকেশন নিয়োগ করে, যেখানে ডিহাইড্রেটিং এজেন্টের উপস্থিতি প্রতিক্রিয়াটিকে সহজতর করতে সহায়তা করে। এস্টারগুলি, তাদের আনন্দদায়ক ফলের অ্যারোমাগুলির জন্য পরিচিত, তাদের পিতামাতার কার্বোক্সিলিক অ্যাসিডের চেয়ে বেশি অস্থির, এটি গ্যাস ক্রোমাটোগ্রাফির মতো কৌশলগুলির মাধ্যমে সহজেই সনাক্তযোগ্য করে তোলে। তাদের অ্যাপ্লিকেশনগুলি বিস্তৃত, ইমোলিয়েন্টস এবং সুগন্ধ থেকে শুরু করে প্লাস্টিক, বিস্ফোরক এবং এমনকি অ্যাসপিরিনের মতো জীবন রক্ষাকারী ওষুধ পর্যন্ত। এস্টেরিফিকেশন যাত্রায় বেশ কয়েকটি মূল পদক্ষেপ জড়িত: কেশন গঠন, কার্বোকেশন ডেলোক্যালাইজেশন, আণবিক স্থানান্তর, জল অপসারণ এবং হাইড্রোজেন প্রতিক্রিয়া। 60 বছরেরও বেশি উদ্ভাবন এবং শিল্প নেতৃত্বের সমর্থিত এসটারিফিকেশনটির জন্য উচ্চমানের বিশেষ রাসায়নিক উত্পাদন করতে 3 ভি সিগমা ইউএসএ এক্সেলের মতো সংস্থাগুলি। এই প্রক্রিয়াটি বোঝা কেবল প্রিয় পণ্যগুলির পিছনে রসায়নের উপর আলোকপাত করে না তবে অনন্য স্বাদ এবং সুগন্ধি তৈরিতে নতুন সম্ভাবনার দরজাও উন্মুক্ত করে।



এস্টেরিফিকেশন এর গোপনীয়তাগুলি আনলক করা: কেন এটি আপনার কাছে গুরুত্বপূর্ণ!



রসায়ন শ্রেণীর জন্য সংরক্ষিত অভিনব শব্দের মতো এস্টারিফিকেশন শোনাতে পারে তবে এটি আপনার দৈনন্দিন জীবনের সাথে আপনি যা ভাবেন তার চেয়ে বেশি প্রাসঙ্গিক। আপনি ভাবতে পারেন, "আমার কেন এস্টেরিফিকেশন সম্পর্কে যত্ন নেওয়া উচিত?" ঠিক আছে, আসুন এটিতে ডুব দিন এবং এই প্রক্রিয়াটি কেন বোঝা আপনার পক্ষে একটি পার্থক্য আনতে পারে তা উদঘাটন করুন। প্রথমত, এস্টেরিফিকেশন হ'ল রাসায়নিক বিক্রিয়া যা এস্টার গঠন করে, যা এমন যৌগগুলি যা সুগন্ধি এবং স্বাদ শিল্পে গুরুত্বপূর্ণ ভূমিকা পালন করে। আপনি যদি কোনও তাজা ফলের ঘ্রাণ বা আপনার প্রিয় সুগন্ধির সুগন্ধ উপভোগ করেন তবে আপনি এস্টারগুলির বিস্ময়কর অভিজ্ঞতা অর্জন করছেন। তারা সেই আনন্দদায়ক গন্ধ এবং স্বাদগুলির জন্য দায়ী যা আপনার মেজাজকে উন্নীত করতে পারে বা আপনাকে লালিত স্মৃতি স্মরণ করিয়ে দিতে পারে। এখন, আপনি জিজ্ঞাসা করছেন, "এটি কীভাবে আমাকে সরাসরি প্রভাবিত করে?" জিনিসটি এখানে: এসটারিফিকেশন সম্পর্কে জানার ফলে আপনি প্রতিদিন ব্যবহার করেন এমন পণ্যগুলির আপনার প্রশংসা বাড়িয়ে তুলতে পারে। উদাহরণস্বরূপ, আপনি যখন প্রয়োজনীয় তেলের বোতলটি বেছে নেন, তখন বুঝতে পারে যে এস্টারগুলি এর মনোরম ঘ্রাণে অবদান রাখে পণ্যটির সাথে আপনার সংযোগকে আরও গভীর করতে পারে। এটি কেবল বোতল নয়; এটি একটি আকর্ষণীয় রাসায়নিক প্রক্রিয়া ফলাফল! সুতরাং, আপনি কীভাবে এই জ্ঞান প্রয়োগ করতে পারেন? এখানে কয়েকটি পদক্ষেপ রয়েছে: 1। ** প্রাকৃতিক পণ্যগুলি অন্বেষণ করুন **: প্রাকৃতিক সুগন্ধি বা স্বাদগুলি সন্ধান করুন যা এস্টারগুলি হাইলাইট করে। কমলা বা ল্যাভেন্ডারের মতো অনেকগুলি প্রয়োজনীয় তেল এস্টার সমৃদ্ধ এবং অ্যারোমাথেরাপি বা রান্নায় ব্যবহার করা যেতে পারে। 2। এই হ্যান্ড-অন পদ্ধতির আপনাকে কেবল একটি মজাদার প্রকল্পই দেয় না তবে আপনাকে এমন ব্যক্তিগতকৃত পণ্য তৈরি করতে দেয় যা আশ্চর্য গন্ধ দেয়। 3। ** অন্যকে শিক্ষিত করুন **: আপনার নতুন জ্ঞানটি বন্ধুবান্ধব এবং পরিবারের সাথে ভাগ করুন। আপনি রসায়ন বা প্রাকৃতিক পণ্যগুলির প্রতি আগ্রহ ছড়িয়ে দিতে পারেন যা তারা কখনই জানত না যে তাদের ছিল! উপসংহারে, যদিও এস্টারিফিকেশনটি একটি বিমূর্ত ধারণার মতো মনে হতে পারে, এটি আমাদের দৈনন্দিন অভিজ্ঞতার ফ্যাব্রিকগুলিতে বোনা। এই প্রক্রিয়াটি বোঝার মাধ্যমে, আপনি আপনার চারপাশের সুগন্ধ এবং স্বাদগুলি আরও গভীরভাবে প্রশংসা করতে পারেন। এছাড়াও, আপনি কেবল পথে একটি নতুন শখ বা আবেগ খুঁজে পেতে পারেন। সুতরাং, পরের বার আপনি যখন আপনার প্রিয় সুগন্ধীর একটি ঝাঁকুনি ধরেন, মনে রাখবেন: এটি কেবল একটি ঘ্রাণ নয়; এটি রসায়ন যাদু কিছুটা!


এসটারিফিকেশন ব্যাখ্যা করেছেন: আজ আপনার কী জানা দরকার!



এস্টারিফিকেশন এমন একটি শব্দ যা প্রায়শই জটিল এবং ভয় দেখানো মনে হয় তবে আমাকে এটি আপনার জন্য ভেঙে দিন। আপনি যদি কখনও ভেবে দেখেছেন যে কীভাবে একটি মিষ্টি গন্ধযুক্ত সুগন্ধি বা একটি সুস্বাদু ফলের স্বাদ হতে পারে তবে এস্টেরিফিকেশন বোঝা মূল বিষয় হতে পারে। আমাদের মধ্যে অনেকেই আমাদের প্রতিদিনের জীবনে এটির মুখোমুখি হয়েছি, পারফিউম, খাবার বা এমনকি বায়োফুয়েলগুলির উত্পাদনেও হোক। সুতরাং, এস্টেরিফিকেশন ঠিক কী? সহজ কথায় বলতে গেলে এটি একটি রাসায়নিক বিক্রিয়া যা অ্যালকোহল এবং কার্বোঅক্সিলিক অ্যাসিডের মধ্যে ঘটে, যার ফলে একটি এস্টার এবং জল গঠনের ফলে ঘটে। এখন, আপনি ভাবতে পারেন, "এটি দুর্দান্ত শোনাচ্ছে, তবে কেন আমার যত্ন নেওয়া উচিত?" ঠিক আছে, আসুন কিছু আপেক্ষিক পরিস্থিতিতে ডুব দিন। কল্পনা করুন যে আপনি একটি রান্নাঘরে রয়েছেন, একটি আনন্দদায়ক ফলের সালাদ চাবুক করছেন। পাকা স্ট্রবেরি এবং সরস পীচগুলির মিষ্টি সুগন্ধ বাতাসকে ভরাট করে। যে মনোরম গন্ধ? আপনি এটা অনুমান! এটি ফলের পাকা প্রক্রিয়া চলাকালীন গঠিত এস্টারগুলির কারণে। এই প্রতিক্রিয়াটি বোঝা আপনাকে আপনার প্রিয় স্বাদের পিছনে রসায়নটির প্রশংসা করতে সহায়তা করতে পারে। এখন, আসুন এস্টেরিফিকেশন জড়িত পদক্ষেপগুলি মোকাবেলা করি। 1। 2। ** মিশ্রণ এবং তাপ **: দুটি উপাদান একত্রিত করুন এবং তাপ প্রয়োগ করুন। এখানেই যাদু ঘটে! 3। ** রূপান্তরটি দেখুন **: প্রতিক্রিয়াটি এগিয়ে যাওয়ার সাথে সাথে আপনি এস্টারগুলির গঠনটি লক্ষ্য করবেন, যা প্রায়শই তাদের ফলের গন্ধ দ্বারা চিহ্নিত করা হয়। 4। ** শীতল ডাউন **: মিশ্রণটি শীতল হওয়ার অনুমতি দিন, এবং ভয়েল! আপনি নিজের এস্টার তৈরি করেছেন। এস্টেরিফিকেশন বোঝার মাধ্যমে, আপনি কেবল দৈনন্দিন পণ্যগুলির পিছনে বিজ্ঞানের অন্তর্দৃষ্টি অর্জন করেন না তবে আপনার চারপাশের বিশ্বের জন্য একটি নতুন স্তরের প্রশংসা আনলকও করেন। উপসংহারে, এস্টেরিফিকেশনটি একটি দু: খজনক বিষয় বলে মনে হতে পারে তবে এটি আমাদের চারপাশে, আমরা প্রতিদিন উপভোগ করি এমন স্বাদ এবং সুগন্ধগুলিকে প্রভাবিত করে। আপনি একজন উদীয়মান রসায়নবিদ বা কেবল এমন কেউ যিনি ভাল ফলের সালাদ পছন্দ করেন, এই প্রক্রিয়াটি সম্পর্কে জেনে আপনার বোঝাপড়া এবং জীবনের সাধারণ আনন্দগুলি উপভোগ করতে পারে। সুতরাং, পরের বার আপনি আপনার প্রিয় সুগন্ধির ঝাঁকুনি নেবেন বা একটি সুস্বাদু ফলের স্বাদ গ্রহণ করবেন, খেলতে আকর্ষণীয় রসায়নটি মনে রাখবেন!


এস্টেরিফিকেশন উপেক্ষা করবেন না: এখানে কেন এটি আপনার ব্যবসায়ের জন্য গুরুত্বপূর্ণ!



এস্টারিফিকেশন রসায়ন শ্রেণীর জন্য সংরক্ষিত অভিনব শব্দের মতো শোনাতে পারে তবে আমার উপর বিশ্বাস রাখুন, এটি উপেক্ষা করা আপনার ব্যবসায়ের পক্ষে একটি বড় ভুল হতে পারে। আসুন কেন এই প্রক্রিয়াটি কেবল একটি ল্যাব পরীক্ষা নয়, তবে একটি গুরুত্বপূর্ণ উপাদান যা আপনার পণ্যগুলিকে বাড়িয়ে তুলতে এবং আপনার নীচের লাইনটি বাড়িয়ে তুলতে পারে তা ডুব দিন। প্রথমত, এস্টারিফিকেশন কী? সহজ ভাষায়, এটি একটি রাসায়নিক বিক্রিয়া যা একটি অ্যালকোহল এবং অ্যাসিডকে একত্রিত করে একটি এস্টার এবং জল গঠন করে। এখন, আপনি ভাবছেন, "কেন আমি এই সম্পর্কে যত্ন করব?" ঠিক আছে, যদি আপনার ব্যবসায়ের মধ্যে সুগন্ধি, স্বাদ বা এমনকি নির্দিষ্ট ধরণের প্লাস্টিক তৈরি করা জড়িত থাকে তবে আপনার পণ্যগুলির গুণমান এবং কার্যকারিতাতে এসটারিফিকেশন গুরুত্বপূর্ণ ভূমিকা পালন করে। আমার মনে আছে যখন আমি আমার কাজের লাইনে প্রথম এসটারিফিকেশনটির মুখোমুখি হয়েছিলাম। আমি একটি নতুন সুবাস বিকাশ করছিলাম এবং সঠিক ঘ্রাণ প্রোফাইল পেতে লড়াই করে যাচ্ছিলাম। আমি এস্টারগুলির গুরুত্ব সম্পর্কে জানতে না পেরে আমি বুঝতে পেরেছিলাম যে আমি আরও আকর্ষণীয় এবং দীর্ঘস্থায়ী সুগন্ধি তৈরি করতে পারি। এস্টারগুলিকে অন্তর্ভুক্ত করে, আমি সুগন্ধ বাড়াতে পারি, এটি গ্রাহকদের কাছে আরও আকর্ষণীয় করে তুলতে। এই ছোট সমন্বয় বিক্রয় উল্লেখযোগ্য বৃদ্ধি ঘটায়। সুতরাং, আপনি কীভাবে আপনার ব্যবসায় এস্টেরিফিকেশন উত্তোলন করতে পারেন? এখানে একটি সরল পদ্ধতির: 1। ** আপনার উপাদানগুলি বুঝতে পারেন **: আপনার পণ্যগুলিতে ব্যবহার করা যেতে পারে এমন ধরণের অ্যালকোহল এবং অ্যাসিডের সাথে নিজেকে পরিচিত করুন। প্রতিটি সংমিশ্রণ বিভিন্ন এস্টার উত্পাদন করতে পারে, যা চূড়ান্ত ফলাফলকে ব্যাপকভাবে প্রভাবিত করতে পারে। 2। ** অনুপাতের সাথে পরীক্ষা করুন **: আপনার উপাদানগুলির অনুপাত নিয়ে চারপাশে খেলতে ভয় পাবেন না। কখনও কখনও, সামান্য পরিবর্তন স্বাদ বা সুগন্ধে একটি অগ্রগতি হতে পারে। 3। ** পরীক্ষা করুন এবং প্রতিক্রিয়া সংগ্রহ করুন **: একবার আপনার কয়েকটি প্রকরণ হয়ে গেলে সেগুলি পরীক্ষা করে দেখুন। কোন সূত্রগুলি সবচেয়ে ভাল অনুরণিত হয় তা দেখতে গ্রাহক বা সহকর্মীদের কাছ থেকে প্রতিক্রিয়া সংগ্রহ করুন। 4। ** উত্পাদন অপ্টিমাইজ করুন **: একবার আপনি বিজয়ী সূত্রটি খুঁজে পেয়ে গেলে দক্ষতার সাথে এস্টেরিফিকেশনকে অন্তর্ভুক্ত করার জন্য আপনার উত্পাদন প্রক্রিয়াটি প্রবাহিত করুন। এটি দীর্ঘমেয়াদে সময় এবং সংস্থান সাশ্রয় করতে পারে। সংক্ষেপে, এসটারিফিকেশন কেবল একটি রাসায়নিক বিক্রিয়া ছাড়াও বেশি; এটি সুগন্ধি, স্বাদ এবং প্লাস্টিক শিল্পগুলিতে ব্যবসায়ের জন্য একটি গেম-চেঞ্জার। এই প্রক্রিয়াটি বোঝার এবং ব্যবহার করে আপনি আরও ভাল পণ্য তৈরি করতে পারেন যা গ্রাহকের চাহিদা পূরণ করে এবং বাজারে দাঁড়ায়। এস্টারদের শক্তি উপেক্ষা করবেন না; এগুলি কেবল আপনার ব্যবসায়ের সাফল্য অর্জনের গোপন উপাদান হতে পারে! আরও শিখতে আজ আমাদের সাথে যোগাযোগ করুন: kepeiaochem@gmail.com/whatsapp ++ 8618039354564।


রেফারেন্স


১। স্মিথ জে। রসায়ন থেকে বাণিজ্য পর্যন্ত: ব্যবসায়ের উপর এস্টেরিফিকেশন এর প্রভাব

যোগাযোগ করুন

Author:

Mr. jamin

Phone/WhatsApp:

++86 18039354564

জনপ্রিয় পণ্য
You may also like
Related Categories

এই সরবরাহকারীকে ইমেইল করুন

বিষয়:
ইমেইল:
বার্তা:

আপনার বার্তা 20-8000 অক্ষরের মধ্যে হওয়া আবশ্যক

আমরা আপনার সাথে যোগাযোগ করব

আরও তথ্য পূরণ করুন যাতে আপনার সাথে দ্রুত যোগাযোগ করতে পারে

গোপনীয়তার বিবৃতি: আপনার গোপনীয়তা আমাদের কাছে অত্যন্ত গুরুত্বপূর্ণ। আমাদের সংস্থা আপনার ব্যক্তিগত তথ্যগুলি আপনার সুস্পষ্ট অনুমতিগুলি সহ কোনও এক্সপ্যানিতে প্রকাশ না করার প্রতিশ্রুতি দেয়।

পাঠান