বাড়ি> ব্লগ
July 02, 2025
টেকসই রাবার: আপনার পক্ষে ভাল, পৃথিবীর জন্য দুর্দান্ত! একটি পার্থক্য করতে প্রস্তুত?

টেকসই জীবনযাপনের সন্ধানে পরিবেশ-বান্ধব বিকল্প হিসাবে প্রাকৃতিক রাবার ক্রমবর্ধমান জনপ্রিয় হয়ে উঠছে। রাবার গাছের ল্যাটেক্স স্যাপ থেকে প্রাপ্ত এই বায়োডেগ্রেডেবল উপাদানটি সিন্থেটিক,

July 02, 2025
পরিবেশ বান্ধব পণ্য চান? টেকসই রাবার উত্পাদনের জগতে ডুব দিন!

প্রাকৃতিক রাবার পেট্রোলিয়াম-ভিত্তিক সিন্থেটিক রাবারগুলির জন্য একটি সন্ধানী পরিবেশ বান্ধব বিকল্প হয়ে উঠছে, যা টেকসই জীবনযাত্রার ক্রমবর্ধমান চাহিদা প্রতিফলিত করে। খ্রিস্টপূর্ব ১00০০ খ

July 01, 2025
টেকসই রাবার কেন বেছে নিন? কারণ মা প্রকৃতিও বিরতির দাবিদার!

নিবন্ধটি রাবারের বাগানের প্রায়শই ওভারলোকড পরিবেশগত প্রভাব সম্পর্কে আলোকপাত করে, যা গ্রীষ্মমন্ডলীয় বন উজানের উল্লেখযোগ্য ড্রাইভার। এটি কম্বোডিয়ার বন্যজীবন অভয়ারণ্য হিসাবে বেঙ্গে

June 30, 2025
কখনও ভেবেছিলেন রাবার গ্রহকে বাঁচাতে পারে? আজ টেকসই রাবার উত্পাদন আবিষ্কার করুন!

কখনও ভেবেছিলেন রাবার গ্রহকে বাঁচাতে পারে? আজ টেকসই রাবার উত্পাদন আবিষ্কার করুন! প্রাকৃতিক রাবার সিন্থেটিক রাবারগুলির একটি টেকসই বিকল্প হিসাবে ট্র্যাকশন অর্জন করছে, যা সর্বত্র পরিবেশ সচে

June 30, 2025
গাছ থেকে রাবার বের করা কি গ্রহকে বাঁচাতে পারে? আসুন সন্ধান করা যাক!

রাবার গাছটি, বৈজ্ঞানিকভাবে হেভা ব্রাসিলেনসিস নামে পরিচিত, ১৩০ ফুট পর্যন্ত লম্বা এবং এক শতাব্দী ধরে বেঁচে থাকতে পারে, গাছটি প্রায় ছয় বছর বয়সে রাবারের জন্য কাটা মূল্যবান ল্যাটেক্স স্যাপ

June 30, 2025
প্রাকৃতিক রাবার: পরিবেশ-বান্ধব সুপারহিরো আমরা জানতাম না যে আমাদের প্রয়োজন?

২০০৯ এর শেষের দিকে, বেন ফোডর সিয়াটেলের একজন বাস্তব জীবনের সুপারহিরো ফিনিক্স জোন্সের ব্যক্তিত্ব দান করেছিলেন, নিজেকে অপরাধীদের থেকে আলাদা করার জন্য একটি অনন্য পোশাকের প্রয়োজনে চালিত। অ

June 29, 2025
কখনও একটি গাছ জড়িয়ে ধরার চেষ্টা করেছেন? প্রাকৃতিক রাবার নিষ্কাশন কেবল পরবর্তী সেরা জিনিস হতে পারে!

আপনি কি কখনও গাছকে আলিঙ্গন করার কথা বিবেচনা করেছেন? এটি কিছুটা উদ্বেগজনক শোনাতে পারে তবে প্রকৃতির সাথে এমন প্রত্যক্ষভাবে সংযোগ স্থাপনের বিষয়ে অনস্বীকার্যভাবে মনোমুগ্ধকর কিছু রয়েছে।

June 28, 2025
প্রাকৃতিক রাবার নিষ্কাশন: এটি কি সবুজ অলৌকিক বা কেবল একটি স্টিকি জগাখিচুড়ি?

প্রাকৃতিক রাবার নিষ্কাশন একটি আকর্ষণীয় প্রশ্ন উত্থাপন করে: এটি কি সবুজ অলৌকিক বা কেবল একটি স্টিকি জগাখিচুড়ি? হেভা ব্রাসিলিয়েনসিস গাছের স্যাপ থেকে উত্সাহিত, এই অনন্য ইলাস্টোমার, বৈজ্ঞ

June 28, 2025
প্রকৃতি যখন আসল চুক্তিটি পেল তখন কেন আমাদের সিন্থেটিক রাবার দরকার?

বাড়ির পণ্যগুলি নির্বাচন করার সময়, তাদের উত্স এবং উপকরণগুলি বোঝা অত্যন্ত গুরুত্বপূর্ণ, বিশেষত রাগ প্যাডগুলির জন্য যা সঠিকভাবে তৈরি না করা হলে সম্ভাব্য মেঝে ক্ষতি করতে পারে। রাবার গাছের

June 28, 2025
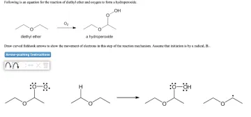
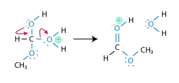
ডায়েথাইল ইথার সংশ্লেষণে ডুব দেওয়ার জন্য প্রস্তুত? মজাতে যোগ দিন!

ডায়েথাইল ইথার সংশ্লেষণে ডুব দেওয়ার জন্য প্রস্তুত? মজাতে যোগ দিন! ডায়েথাইল ইথার বা ইথোক্সিথেন, একটি আকর্ষণীয় জৈব যৌগ যা 1540 সাল থেকে প্রায় ছিল, যখন ভ্যালেরিয়াস কর্ডাস এটিকে "ভিট্রিওল

June 27, 2025
আজ ডায়েথাইল ইথার সংশ্লেষণের গোপনীয়তাগুলি আনলক করুন!

আজ ডায়েথাইল ইথার সংশ্লেষণের গোপনীয়তাগুলি আনলক করুন! আপনি কি ইথার সংশ্লেষণের আকর্ষণীয় বিশ্বে ডুব দিতে প্রস্তুত? আসুন ইথানলের মতো প্রাথমিক অ্যালকোহলগুলির অ্যাসিড-অনুঘটকযুক্ত ডিহাইড্

June 26, 2025
ডায়েথাইল ইথার সংশ্লেষণ সম্পর্কে কৌতূহলী? এটি আপনার চেয়ে সহজ!

ডায়েথাইল ইথার সংশ্লেষণ সম্পর্কে কৌতূহলী? এটি আপনার চেয়ে সহজ! একটি বহুমুখী দ্রাবক ডায়েথাইল ইথার প্রায়শই এর ব্যবহারিক অ্যাপ্লিকেশনগুলির জন্য আলোচনা করা হয়, তবে আসুন আমরা এর জ্বলনযোগ্

June 26, 2025
ডায়েথাইল ইথার সংশ্লেষণ: রাসায়নিক সাফল্যের জন্য আপনার শর্টকাট!

"ডায়েথাইল ইথার সংশ্লেষণ: রাসায়নিক সাফল্যের জন্য আপনার শর্টকাট!" জৈব রসায়নের একটি ভিত্তি, বিশেষত ডায়েথাইল ইথার শিল্পের শিল্পকে দক্ষতা অর্জনের জন্য আপনার চূড়ান্ত গাইড। এই গাইডটি ড

June 25, 2025
ডায়েথাইল ইথার সংশ্লেষণে মাস্টার করতে চান? আসুন এটি ভেঙে দেওয়া যাক!

অবশ্যই! প্রদত্ত তথ্যের উপর ভিত্তি করে একটি সংক্ষিপ্ত সংক্ষিপ্তসার এখানে রয়েছে: ক্র্যাশ কোর্সে অ্যালকোহল, ইথার এবং ইপোক্সাইডগুলিকে কেন্দ্র করে জৈব রসায়ন পর্বে বর্ণনাটি একটি বহুমুখী যৌ

June 25, 2025
আপনার কেন এস্টেরিফিকেশন সম্পর্কে যত্ন নেওয়া উচিত?

এসটারিফিকেশন হ'ল মনোমুগ্ধকর রাসায়নিক বিক্রিয়া যেখানে অ্যালকোহল এবং কার্বোঅক্সিলিক অ্যাসিডগুলি একত্রিত হয়ে এস্টার গঠনে আসে, ফার্মাসিউটিক্যালস এবং সুগন্ধি সহ বিভিন্ন শিল্পে প্রয়

June 24, 2025
এসটারিফিকেশন প্রক্রিয়া সম্পর্কে গুঞ্জন কী?

এসটারিফিকেশন একটি আকর্ষণীয় রাসায়নিক প্রক্রিয়া যেখানে একটি অ্যালকোহল একটি এস্টার এবং জল উত্পাদন করতে একটি কার্বোক্সিলিক অ্যাসিডের সাথে প্রতিক্রিয়া দেখায়। এই প্রতিক্রিয়াটির জন্

June 24, 2025
এস্টারিফিকেশন কি আপনার জীবনকে আরও সহজ করে তুলতে পারে?

নিবন্ধটি টক বিয়ারগুলিতে এস্টারগুলির আকর্ষণীয় জগতে প্রবেশ করে, আকর্ষণীয় অ্যারোমা এবং স্বাদগুলি তৈরি করার ক্ষেত্রে তাদের গুরুত্বপূর্ণ ভূমিকার উপর জোর দিয়ে। অ্যাসিড এবং অ্যালকোহলগু

June 23, 2025
রসায়নে কি এস্টারিফিকেশন সিক্রেট সস?

খাবারের উপভোগ একটি আনন্দদায়ক যাত্রা যা ব্যক্তিদের মধ্যে ব্যাপকভাবে পরিবর্তিত হয়, কারণ কিছু কিছু নির্দিষ্ট স্বাদ পছন্দ করে এবং অন্যরা তাদের কম আবেদনময়ী মনে করতে পারে। এই প্রকরণটি স্বা

June 22, 2025
কখনও ভেবে দেখেছেন কীভাবে এসটারিফিকেশন কাজ করে?

এসটারিফিকেশন একটি আকর্ষণীয় রাসায়নিক বিক্রিয়া যেখানে অ্যালকোহল এবং অ্যাসিডগুলি ফিশার এসটারিফিকেশন নামে পরিচিত একটি প্রক্রিয়াটির মাধ্যমে সাধারণত কার্বোঅক্সিলিক এস্টার তৈরি করতে

June 22, 2025
প্রাকৃতিক গ্যাস উত্তোলনের সাথে আসল চুক্তি কী?

নিবন্ধটি "পুনর্নবীকরণযোগ্য" প্রাকৃতিক গ্যাসের ধারণার সমালোচনা করে, যুক্তি দিয়ে যে এটি মূলত মিথেন, প্রচলিত প্রাকৃতিক গ্যাসের মতো এবং এটি একটি কার্যকর পরিষ্কার শক্তি সমাধান দেয় না। এ

June 22, 2025
প্রাকৃতিক গ্যাস নিষ্কাশন কি আমাদের শক্তি সংকট থেকে বাঁচাতে পারে?

জলবায়ু পরিবর্তনের বিরুদ্ধে লড়াইয়ে "ট্রানজিশন ফুয়েল" হিসাবে প্রাকৃতিক গ্যাসকে ঘিরে আখ্যানকে ক্রমবর্ধমানভাবে চ্যালেঞ্জ জানানো হচ্ছে, ডাব্লুডাব্লুএফএফের ডিন কুপারের মতো বিশেষজ্

June 21, 2025
প্রাকৃতিক গ্যাস নিষ্কাশন: একটি আশীর্বাদ বা অভিশাপ?

নিবন্ধটি শেল প্রাকৃতিক গ্যাস উত্পাদনের দ্বৈত-তরোয়াল তরোয়ালটি আবিষ্কার করে, এটি স্থানীয় অর্থনীতির জন্য কোনও वरदान বা বেন কিনা তা প্রশ্ন করে। অনুভূমিক ড্রিলিং এবং ফ্র্যাকিংয়ের মতো গ্

June 21, 2025
আমাদের কেন প্রাকৃতিক গ্যাস উত্তোলনের বিষয়ে যত্ন নেওয়া উচিত?

প্রাকৃতিক গ্যাস হ'ল এনার্জি ল্যান্ডস্কেপের একটি পাওয়ার হাউস, উত্তর আমেরিকা জুড়ে ৮৩ মিলিয়নেরও বেশি ঘরবাড়ি এবং ব্যবসায়ের জীবনে গুরুত্বপূর্ণ ভূমিকা পালন করে। এটি কেবল শীতকালে উষ্ণত

June 20, 2025
প্রাকৃতিক গ্যাস নিষ্কাশন কি শক্তির ভবিষ্যত?

প্রাকৃতিক গ্যাস ক্রমবর্ধমানভাবে কয়লা এবং তেলের মতো আরও ক্ষতিকারক জীবাশ্ম জ্বালানী থেকে দূরে সরে যাওয়ার ক্ষেত্রে একটি গুরুত্বপূর্ণ ট্রানজিশনাল শক্তির উত্স হিসাবে স্বীকৃত, এর ক্লিনার

আমরা আপনার সাথে যোগাযোগ করব

আরও তথ্য পূরণ করুন যাতে আপনার সাথে দ্রুত যোগাযোগ করতে পারে

গোপনীয়তার বিবৃতি: আপনার গোপনীয়তা আমাদের কাছে অত্যন্ত গুরুত্বপূর্ণ। আমাদের সংস্থা আপনার ব্যক্তিগত তথ্যগুলি আপনার সুস্পষ্ট অনুমতিগুলি সহ কোনও এক্সপ্যানিতে প্রকাশ না করার প্রতিশ্রুতি দেয়।

পাঠান